Penjana Cummins adalah hampir yang paling popular set penjana digunakan secara meluas dalam semua jenis industri stesen janakuasa seluruh dunia. Rangkaian perkhidmatan global enjin diesel Cummins boleh menyediakan pelanggan dengan perkhidmatan yang boleh dipercayai dan terjamin. Julat kuasa Cummins genset adalah dari 24kw sehingga 1800kw .
1. Cummins Engine Generator Specification Utama
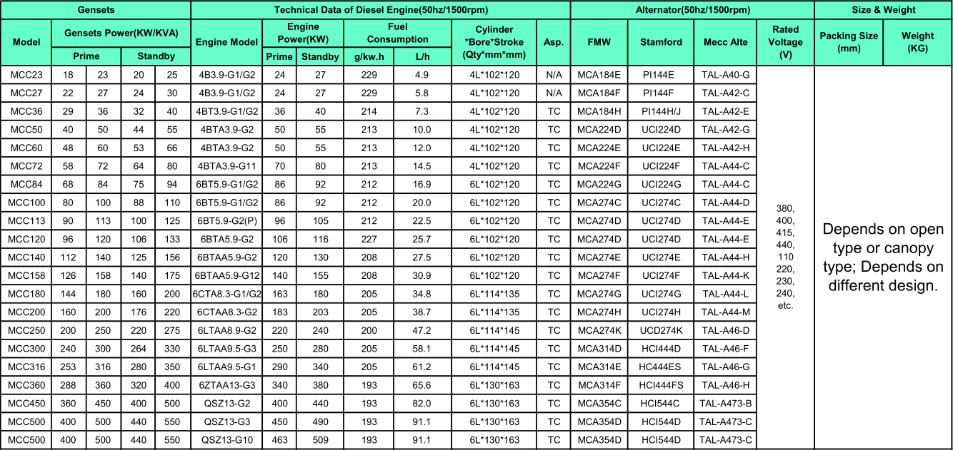
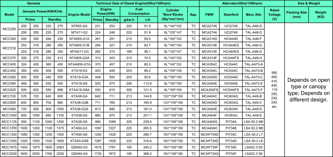
Dongfeng Cummins Generator

Chongqing Cummins Generator

2. Cummins Generator Se t
3. Ciri Generator Dan Skop Bekalan
|
Bahagian Standard
|
Bahagian Pilihan
|
|
Enjin diesel Ricardo, Lijia, dan Styer yang baru
|
Stamford asal, Leroy Somer dan Mecc Alte alternator
|
|
Alternator MCA Brushless yang baru (Kelas H, IP23, AVR)
|
Sistem kawalan penjana suis automatik (A.T.S)
|
|
Bingkai asas keluli tugas berat dengan tangki bahan api 8 jam
|
Sistem kawalan penjana yang sejajar
|
|
Kanopi kalis air keluli 2MM-4MM untuk penjana senyap
|
Tangki bahan api disesuaikan lebih besar daripada 8 jam berjalan
|
|
Radiator pengawal keselamatan dengan perlindungan bersih
|
Tugas berat 50 ℃ Radiator tembaga
|
|
Getaran getaran getaran anti getaran
|
Deepsea7320, Smartgen6110 atau ComAp AMF25 pengawal penjana
|
|
Tugas penyejuk jenis tugas berat dengan mulut yang fleksibel
|
Pemanas air / pemanas lub lubang untuk cuaca yang sangat sejuk
|
|
Bateri bukan prestasi tinggi standard negara
|
Elektronik seperti ABB, Schneider dan Siemens
|
|
Pengawal penjana Deepsea6020, Smartgen420 atau ComAp MRS11
|
Kapsul super diam diam dengan ketumpatan tinggi span
|
|
Tekanan minyak yang rendah, terlalu panas, beban, dan perlindungan terlalu banyak
|
Bahagian khas sebagai kunci keluli tahan karat, pam saliran minyak, penapis habuk dan lain-lain
|
|
Elektronik standard negara seperti kabel, pemutus circuirt, relay, lampu, sekering, berhenti peranti.
|
Alat gantian enjin dan alternator sebagai penapis, gasket, muncung, AVR, penerus
|
|
Kit alat dengan manual operasi genset, enjin, dan alternator
|
Peti kit alat Deluxe dengan pelbagai alat untuk penyelenggaraan
|
4. Kriteria dan Sijil

5. Kelebihan Generator Diesel kami

① Bahan-bahan dan alat ganti yang tinggi
● Dari skru, galas, span bunyi, wayar, getaran-penyerap, relay, AVR, diod, tolok, pinang, dawai tembaga, plat keluli, meter, pengawal, bateri, AMF, ATS dan sebagainya.
② Pasukan Penyelidikan dan Pengembangan Tinggi yang berpendidikan dan berpengalaman
● Dengan pasukan penyelidikan dan pembangunan yang sangat profesional, tidak hanya standard FMU manufactuer kuasa penjana kualiti yang boleh dipercayai tetapi juga kuasa FMW boleh merancang pelbagai jenis penjana seperti penjana senyap super, stesen janakuasa kontena, penjana pintar mengikut tuntutan unik pelanggan.
③ Prestasi dan Kriteria yang Dipercayai
Peraturan Voltan:
● Pelbagai tetapan voltan beban bebas ≥ (95-105)% Un
● Kadar regangan tegasan keadaan tegar ± ± 1.0%
● Tr kadar peraturan voltan ansien negeri ± 20% / - 15%
● Masa pemulihan voltan≤1.0S
● Voltan turun naik nisbah ± ± 0.5%
● Sejumlah voltan suhu sejuk / panas≤2%
Pengaliran Kekerapan / Kelajuan:
● Tukar beban dari 0-100%, Nisbah Droop Kekerapan / Kelajuan dalam 5%.
● Beban dari 25-100%, mana-mana undur Kekerapan / Pantulan beban mantap dalam masa 0.25%
Faktor Kesan Telecom:
● TIF (MA MG1-22) lebih baik daripada 50
● THF (BS EN60034) lebih baik daripada 2%
Kriteria:
● ISO8528, GB / T2820
● EN12601: 2001, EN60034-22: 1997, EN60204-1: 2006
● Sistem Kawalan Kualiti ISO9001: 2008
● Penebat Rintangan Diuji mengikut GB5226.1-2002-19.3
● Bertahan-Voltan Diuji mengikut GB7 55-2000-8.1 (dengan 1500V oleh 60S)
● Semua alat ganti elektrik diuji sesuai dengan GB5226.1-2002-19.6
● Keselamatan Mekanikal yang diuji sesuai dengan GB / T820.8-2002-6.3
● Bukti Kebakaran yang diuji mengikut GB / T2820.8-20 02-6.4 / 6.5
● Semua set penjana diperiksa dengan ketat sebanyak 25%, 50%, 75%, 100% dan 110% Beban.